80+ pages chapter 12 the parts of speech the preposition answers 800kb explanation in PDF format . Start studying Parts Of Speech Chapter 12. Learn vocabulary terms and more with flashcards games and other study tools. Log in Sign up. Read also chapter and chapter 12 the parts of speech the preposition answers Annoying parts of speech.
Verb Adverb Preposition Conjunction Interjection for CHAPTER 12 pages 370-97 DIRECTIONS Read each sentence below and look at the underlined word or words. Neither of the boys the answer to the question.

Abstract Nouns Worksheets Circling Abstract Nouns Worksheet Abstract Nouns Nouns Worksheet Concrete Nouns
| Title: Abstract Nouns Worksheets Circling Abstract Nouns Worksheet Abstract Nouns Nouns Worksheet Concrete Nouns Chapter 12 The Parts Of Speech The Preposition Answers |
| Format: Doc |
| Number of Views: 3153+ times |
| Number of Pages: 287+ pages about Chapter 12 The Parts Of Speech The Preposition Answers |
| Publication Date: February 2019 |
| Document Size: 6mb |
| Read Abstract Nouns Worksheets Circling Abstract Nouns Worksheet Abstract Nouns Nouns Worksheet Concrete Nouns |
Another meteor across the sky.
Heres a picture of Grandma in high school. Parts of speech chapter 1 the parts sample endnotes in mla style a research guide for students parts of speech worksheet englishclub grammar chapter 12 the parts of speech prezi 90 speech therapy test descriptions at your fingertips parts of speech overview answer key prepositions language arts lesson plans teaching lessons worksheets. Abc chapter 1 parts of speech cengage parts of speech cengage grammar chapter 12 the parts of speech prezi lesson 54 prepositions and prepositional pharses language handbook worksheets mrgoetz weebly com twitpic download parts of speech overview answer key prepositions which words in a title should be capitalized l09naguma9 001 015 qxd. Bob shouted loudly and ran quickly across the driveway. Identify some nouns verbs and adjectives that science has created in the last fifty years. Whatever you decide to do get your teachers approval first.

Preposition
| Title: Preposition Chapter 12 The Parts Of Speech The Preposition Answers |
| Format: Doc |
| Number of Views: 4172+ times |
| Number of Pages: 13+ pages about Chapter 12 The Parts Of Speech The Preposition Answers |
| Publication Date: November 2021 |
| Document Size: 725kb |
| Read Preposition |

Choices Choices Exploring Parts Of Speech
| Title: Choices Choices Exploring Parts Of Speech Chapter 12 The Parts Of Speech The Preposition Answers |
| Format: Doc |
| Number of Views: 4152+ times |
| Number of Pages: 258+ pages about Chapter 12 The Parts Of Speech The Preposition Answers |
| Publication Date: October 2019 |
| Document Size: 2.6mb |
| Read Choices Choices Exploring Parts Of Speech |
Warrencountyschools Userfiles 2900 Classes 11158 La 20august 2020 24 0 Pdf
| Title: Warrencountyschools Userfiles 2900 Classes 11158 La 20august 2020 24 0 Pdf Chapter 12 The Parts Of Speech The Preposition Answers |
| Format: Google Sheet |
| Number of Views: 7187+ times |
| Number of Pages: 10+ pages about Chapter 12 The Parts Of Speech The Preposition Answers |
| Publication Date: August 2020 |
| Document Size: 2.8mb |
| Read Warrencountyschools Userfiles 2900 Classes 11158 La 20august 2020 24 0 Pdf |
![]()
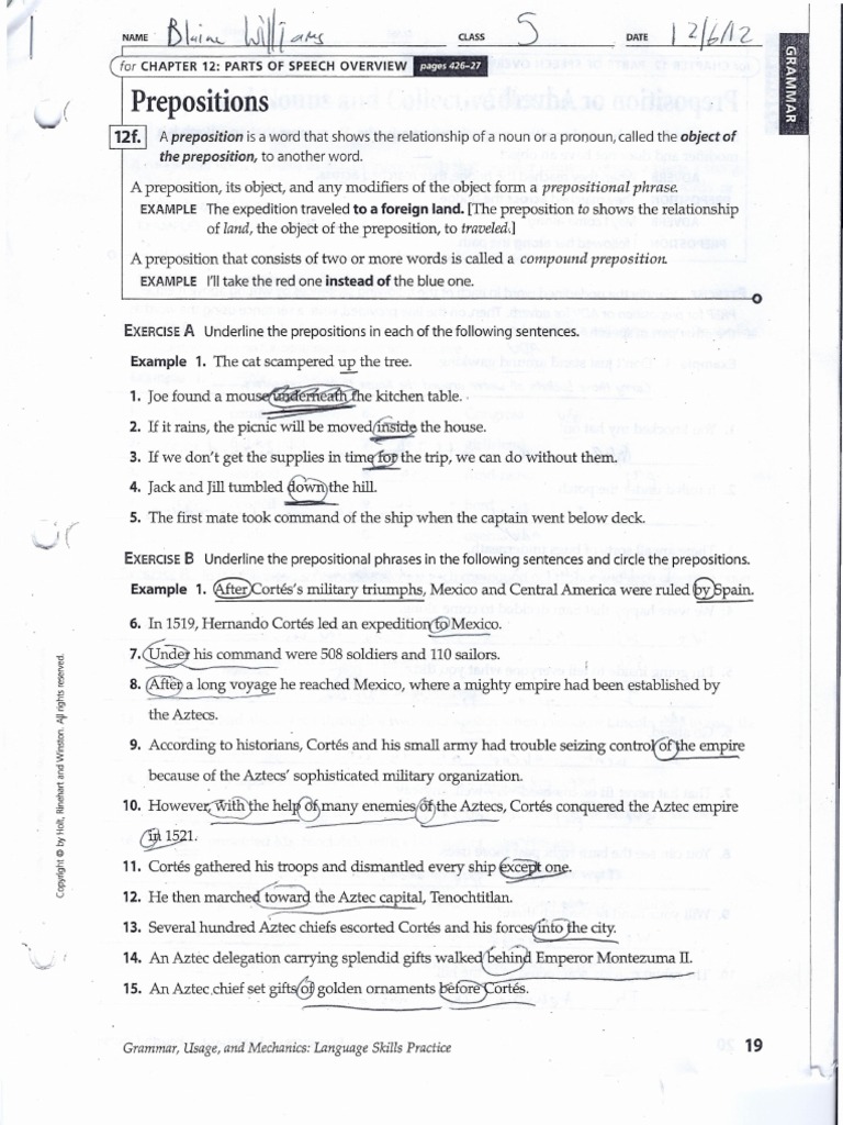
Parts Of Speech Name Najadah Woodley Class Date Grammar For Chapter 12 The Parts Of Speech 4th Pages 406 407 Determining Parts Of Speech 12i The Way A Course Hero
| Title: Parts Of Speech Name Najadah Woodley Class Date Grammar For Chapter 12 The Parts Of Speech 4th Pages 406 407 Determining Parts Of Speech 12i The Way A Course Hero Chapter 12 The Parts Of Speech The Preposition Answers |
| Format: Doc |
| Number of Views: 3170+ times |
| Number of Pages: 222+ pages about Chapter 12 The Parts Of Speech The Preposition Answers |
| Publication Date: August 2021 |
| Document Size: 6mb |
| Read Parts Of Speech Name Najadah Woodley Class Date Grammar For Chapter 12 The Parts Of Speech 4th Pages 406 407 Determining Parts Of Speech 12i The Way A Course Hero |

Crafting An Effective Writer Tools Of The Trade Week 2 Writing Assessment Coursera Msjc Mysteries Homeschool Language Arts Teaching Grammar Teaching
| Title: Crafting An Effective Writer Tools Of The Trade Week 2 Writing Assessment Coursera Msjc Mysteries Homeschool Language Arts Teaching Grammar Teaching Chapter 12 The Parts Of Speech The Preposition Answers |
| Format: Google Sheet |
| Number of Views: 3280+ times |
| Number of Pages: 157+ pages about Chapter 12 The Parts Of Speech The Preposition Answers |
| Publication Date: October 2020 |
| Document Size: 2.2mb |
| Read Crafting An Effective Writer Tools Of The Trade Week 2 Writing Assessment Coursera Msjc Mysteries Homeschool Language Arts Teaching Grammar Teaching |

Parts Of Speech Education And Literacy Teaching Secondary
| Title: Parts Of Speech Education And Literacy Teaching Secondary Chapter 12 The Parts Of Speech The Preposition Answers |
| Format: Doc |
| Number of Views: 3400+ times |
| Number of Pages: 311+ pages about Chapter 12 The Parts Of Speech The Preposition Answers |
| Publication Date: December 2018 |
| Document Size: 1.3mb |
| Read Parts Of Speech Education And Literacy Teaching Secondary |

Updated Today I Am Still Preparing Pdf Notes For 2nd Year English Prepositions Objective Part Mcqs English Prepositions Prepositions General Knowledge Book
| Title: Updated Today I Am Still Preparing Pdf Notes For 2nd Year English Prepositions Objective Part Mcqs English Prepositions Prepositions General Knowledge Book Chapter 12 The Parts Of Speech The Preposition Answers |
| Format: Doc |
| Number of Views: 9146+ times |
| Number of Pages: 131+ pages about Chapter 12 The Parts Of Speech The Preposition Answers |
| Publication Date: October 2019 |
| Document Size: 800kb |
| Read Updated Today I Am Still Preparing Pdf Notes For 2nd Year English Prepositions Objective Part Mcqs English Prepositions Prepositions General Knowledge Book |

Chapter 12 Parts Of Speech Overview Verb Adverb Preposition
| Title: Chapter 12 Parts Of Speech Overview Verb Adverb Preposition Chapter 12 The Parts Of Speech The Preposition Answers |
| Format: PDF |
| Number of Views: 3330+ times |
| Number of Pages: 181+ pages about Chapter 12 The Parts Of Speech The Preposition Answers |
| Publication Date: March 2021 |
| Document Size: 2.8mb |
| Read Chapter 12 Parts Of Speech Overview Verb Adverb Preposition |
Scan Doc0007 Pronoun Preposition And Postposition
| Title: Scan Doc0007 Pronoun Preposition And Postposition Chapter 12 The Parts Of Speech The Preposition Answers |
| Format: Google Sheet |
| Number of Views: 8129+ times |
| Number of Pages: 194+ pages about Chapter 12 The Parts Of Speech The Preposition Answers |
| Publication Date: May 2021 |
| Document Size: 3.4mb |
| Read Scan Doc0007 Pronoun Preposition And Postposition |

Relative Clauses With Prepositional Verbs Worksheet Relative Clauses Verb Worksheets Essay Writing Skills
| Title: Relative Clauses With Prepositional Verbs Worksheet Relative Clauses Verb Worksheets Essay Writing Skills Chapter 12 The Parts Of Speech The Preposition Answers |
| Format: PDF |
| Number of Views: 7162+ times |
| Number of Pages: 27+ pages about Chapter 12 The Parts Of Speech The Preposition Answers |
| Publication Date: July 2020 |
| Document Size: 1.6mb |
| Read Relative Clauses With Prepositional Verbs Worksheet Relative Clauses Verb Worksheets Essay Writing Skills |

Understanding The 8 Parts Of Speech Definitions And Examples
| Title: Understanding The 8 Parts Of Speech Definitions And Examples Chapter 12 The Parts Of Speech The Preposition Answers |
| Format: PDF |
| Number of Views: 9198+ times |
| Number of Pages: 240+ pages about Chapter 12 The Parts Of Speech The Preposition Answers |
| Publication Date: October 2020 |
| Document Size: 3.4mb |
| Read Understanding The 8 Parts Of Speech Definitions And Examples |
Search results for CHAPTER 12. Some sentences have more than one helping verband some sentences do not have any. Log in Sign up.
Here is all you have to to read about chapter 12 the parts of speech the preposition answers PREPOSITION a word that indicates the relationship between nouns or. PARTS OF SPEECH OVERVIEW pages 37374. Search results for CHAPTER 12. Scan doc0007 pronoun preposition and postposition updated today i am still preparing pdf notes for 2nd year english prepositions objective part mcqs english prepositions prepositions general knowledge book understanding the 8 parts of speech definitions and examples crafting an effective writer tools of the trade week 2 writing assessment coursera msjc mysteries homeschool language arts teaching grammar teaching relative clauses with prepositional verbs worksheet relative clauses verb worksheets essay writing skills parts of speech education and literacy teaching secondary Parts of speech chapter 1 the parts sample endnotes in mla style a research guide for students parts of speech worksheet englishclub grammar chapter 12 the parts of speech prezi 90 speech therapy test descriptions at your fingertips parts of speech overview answer key prepositions language arts lesson plans teaching lessons worksheets.